给你一个链表,删除链表的倒数第 n 个结点,并且返回链表的头结点。
示例 1:

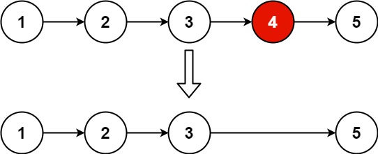
输入:head = [1,2,3,4,5], n = 2
输出:[1,2,3,5]
示例 2:
输入:head = [1], n = 1
输出:[]
示例 3:
输入:head = [1,2], n = 1
输出:[1]
提示:
- 链表中结点的数目为
sz 1 <= sz <= 300 <= Node.val <= 1001 <= n <= sz
**进阶:**你能尝试使用一趟扫描实现吗?
Table of contents
解法
func removeNthFromEnd(_ head: ListNode?, _ n: Int) -> ListNode? {
if head == nil { return head }
var first: ListNode? = head
var last: ListNode? = head
var m = 0
while first?.next != nil {
first = first?.next
if m == n {
last = last?.next
} else {
m += 1
}
}
if m < n {
return head?.next
}
last?.next = last?.next?.next
return head
}
算法使用了“双指针”技术,通过设置一个“快指针”和一个“慢指针”来高效地完成这个任务。
1. 空链表检查
if head == nil { return head }
与上一个版本一样,首先我们检查链表是否为空。如果链表为空,直接返回原链表。
2. 初始化两个指针
var first: ListNode? = head
var last: ListNode? = head
var m = 0
-
first是快指针,最初指向链表的头节点。 -
last是慢指针,最初也指向链表的头节点。 -
m是一个计数器,帮助我们控制last指针移动的步数。
3. 移动快指针
while first?.next != nil {
first = first?.next
if m == n {
last = last?.next
} else {
m += 1
}
}
-
这里我们开始循环,直到
first指针走到链表的最后一个节点。 -
在每次循环中,
first指针都会向前移动一步。 -
m变量用于控制last指针的移动。如果m达到n,意味着first指针已经走过了n步,此时我们开始让last指针也移动,这样last和first之间的距离就始终保持为n。
4. 删除倒数第 N 个节点的特殊情况
if m < n {
return head?.next
}
这一部分是处理特殊情况。如果链表的长度小于 n(例如 n 比链表长度还大),我们直接返回 head?.next,相当于删除头节点。
5. 删除倒数第 N 个节点
last?.next = last?.next?.next
一旦 first 指针到达链表的最后一个节点时,last 指针就会指向倒数第 n+1 个节点。此时,last?.next 就是倒数第 N 个节点。我们通过将 last?.next 指向 last?.next?.next,成功删除了倒数第 N 个节点。
6. 返回修改后的链表头
return head
最后,我们返回链表的头节点。即使删除了倒数第 N 个节点,链表的头节点仍然是原始头节点。
总结:
这段代码的关键思想与前一种解法类似:通过快慢指针的技巧来找出倒数第 N 个节点。主要不同点在于:
-
该实现使用了
m作为计数器来控制last指针的移动,直到first指针走了n步,last指针才开始移动。 -
处理链表长度小于
n的情况时,通过返回head?.next来直接删除链表的头节点。
这种方式具有 O(L) 的时间复杂度和 O(1) 的空间复杂度,其中 L 是链表的长度。
优化后
func removeNthFromEnd(_ head: ListNode?, _ n: Int) -> ListNode? {
if head == nil { return nil }
var fast: ListNode? = head
for _ in 0..<n {
guard let node = fast?.next else { return head?.next }
fast = fast?.next
}
var low: ListNode? = head
while let node = fast?.next {
fast = node
low = low?.next
}
low?.next = low?.next?.next
return head
}
与上一种解法相比,这种写法实现方式有所不同,依然采用了类似的“双指针”技巧,但在处理快慢指针时的细节和逻辑略有不同。让我们逐步讲解这个算法的每一部分:
1. 初始化和空链表检查:
if head == nil { return nil }
首先,我们检查链表是否为空。如果是空链表,直接返回 nil。
2. 设置快指针:
var fast: ListNode? = head
for _ in 0..<n {
guard let node = fast?.next else { return head?.next }
fast = fast?.next
}
我们定义了一个 fast 指针,并将其初始化为链表的头节点。接下来,我们让 fast 指针先走 n 步。这样,fast 指针在执行完这个循环后,会离链表的尾部有 n 个节点的距离。
需要特别注意的是,如果链表长度小于 n,我们直接返回 head?.next,这是因为倒数第 N 个节点不存在,我们只需要删除链表中的第一个节点。
3. 设置慢指针:
var low: ListNode? = head
while let node = fast?.next {
fast = node
low = low?.next
}
现在,fast 指针已经向前走了 n 步,因此接下来,我们定义一个 low 指针,初始时指向头节点。然后,我们同时让 fast 和 low 一起向前移动,直到 fast 指针到达链表的最后一个节点。由于 fast 和 low 之间的距离保持为 n,当 fast 到达链表的尾部时,low 就会指向倒数第 n+1 个节点。
4. 删除倒数第 N 个节点:
low?.next = low?.next?.next
此时,low 指针指向的是倒数第 n+1 个节点,而 low?.next 就是我们要删除的倒数第 N 个节点。我们通过将 low?.next 的指针指向 low?.next?.next 来删除这个节点。
5. 返回结果:
return head
最后,我们返回修改后的链表头节点 head,这样链表中的节点已经删除了倒数第 N 个节点。
总结:
这个算法的关键点在于利用快慢指针的技巧。通过先让快指针走 n 步,然后快慢指针一起前进,直到快指针到达链表末尾,这样慢指针就能精确地定位到倒数第 n+1 个节点的位置。然后通过调整指针来删除倒数第 N 个节点,完成删除操作。这个算法的时间复杂度是 O(L),其中 L 是链表的长度,空间复杂度是 O(1),因为我们只使用了常数空间。